연구 과제를 진행하기 위해 참고한 딥러닝 관련 논문을 요약 정리한 글이다.
연구 과제를 진행하기 위해 참고한 강화학습, 콘텐츠 캐싱 관련 논문을 요약 정리한 글이다.
연구 과제를 진행하기 위해 참고한 강화학습 관련 논문을 요약 정리한 글이다. 본 논문은 SCI Q1 이다.
연구 과제를 진행하기 위해 참고한 강화학습 관련 논문을 요약 정리한 글이다. 본 논문을 선정한 이유 ACM(Association for Computing Machinery) Recommender Systems conference(RecSys)에 기재된 논문으로 인용지수가 높다. DDPG 사용하면서 continuous action ...
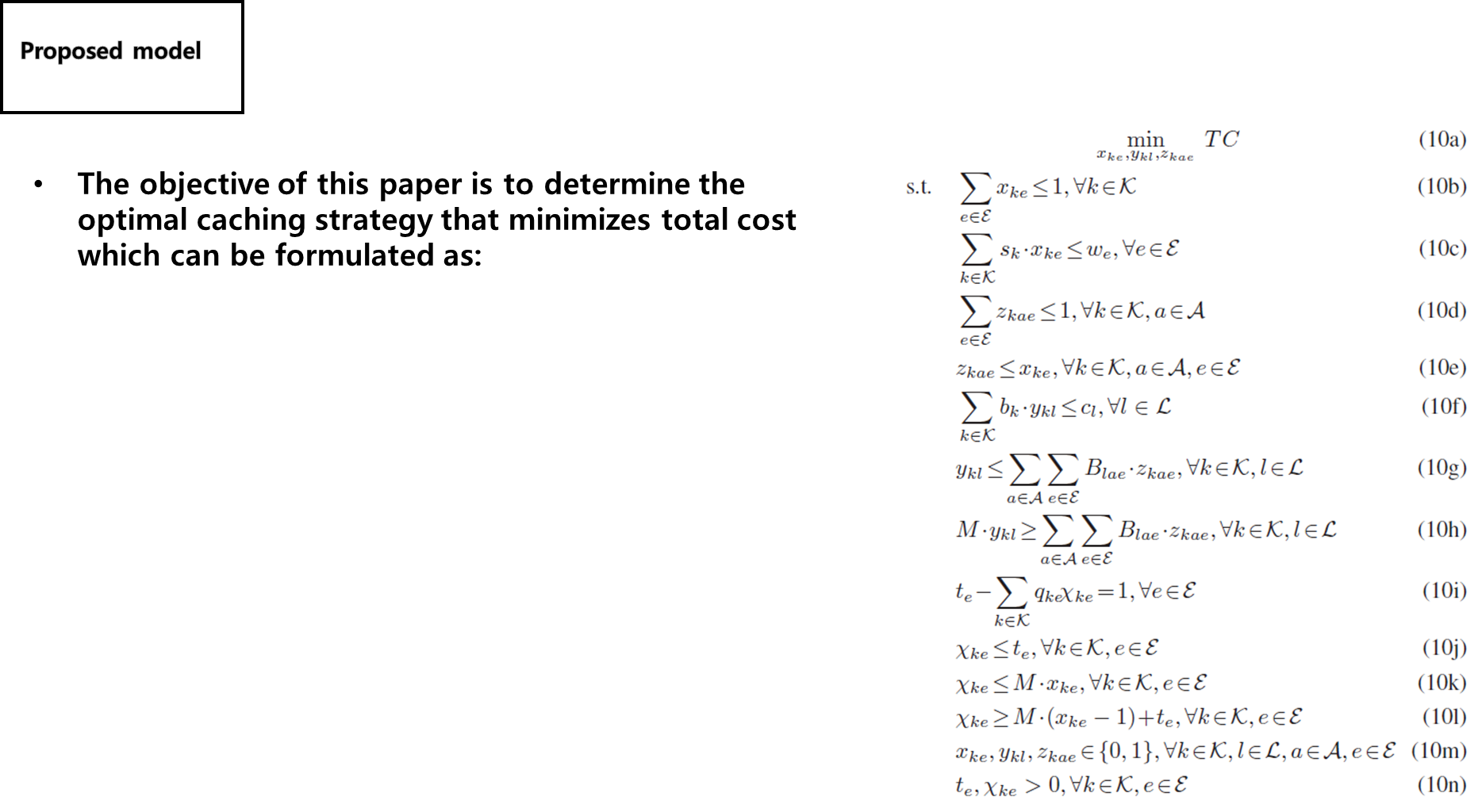
(Reinforcement Learning)(Paper Review)(Contents Caching) A Deep Reinforcement Learning-Based Framework for Content Caching
(Recommendation System) 행렬 분해를 이용한 잠재요인 협업 필터링(SGD)